Davitily Math Academy - a free place to learn and practice math.
Basic Math / GED

Algebra

Geometry

SAT Math

Algebra 2





Download our
Tutorial Files



Whole Numbers

Decimals

Fractions I

Fractions II

Ratios, Proportions, and Percents

Statistics and Probablity

Basic Algebra

Basic Geometry

Place values (Whole Numbers).

Rounding.

Estimating sums.

Simple addition (1 digit).

Simple addition (1 - 2 digits).

Addition (3 digits).

Associative property (addition).

Commutative property (addition).

Addition word problem.

Estimating differences.

Simple subtraction (1 digit).

Simple subtraction without borrowing (1 - 2 digits).

Simple subtraction (1 - 2 digits).

Subtraction.

Subtraction (from 10x).

Subtraction word problem.

Simple multiplication (1 - 2 digits).

Simple multiplication II.

Simple multiplication (by 10x's).

Estimating products.

Multiplication (2 - 3 digits).

Write number in expanded form.

Simplifying expanded form.

Multiplication word problem.

Simple division (no remainder).

Simple division with zeros (no remainder).

Estimating quotients.

Simple division (with remainder).

Division word problem.

Long division (no remainder).

Long division (with remainder).

Square roots.

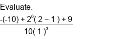
Order of operations.

Order of operations (exponents).

Order of operations II.

Telling time I.

Telling time II.

Passing Time.

Passing Time Word Problem.

Identify the operation word problem.

Convert a Roman Numeral to a Standard Number.

Convert to a Roman Numeral.

Convert between place values.

View Tutorial Video

Problem:


Choose an Answer:


Try our Math
Problem Generator

Create tests or worksheets to be printed or taken online.




Home | Report Bug | Math Resources | Advertise With Us | Copyright © 2026