Davitily Math Academy - a free place to learn and practice math.
Basic Math / GED

Algebra

Geometry

SAT Math

Algebra 2





Download our
Tutorial Files



Arithmetic

Real Numbers

Decimals, Fractions, and Percents

Introduction to Variables

Solving single-step equations and inequalities

Solving multi-step equations

Graphs

Introduction to Graphing

Graphing Linear Equations

Graphing Inequalities

Systems of Equations

Roots and Exponents

Polynomials

Factoring

Basic exponents.

Basic exponents (positive and negative base).

Multiplying basic exponents.

Dividing basic exponents (positive exponent answers).

Dividing basic exponents.

Dividing basic exponents with negative exponents (positive exponents answers).

Dividing basic exponents with negative exponents (negative exponents answers).

Exponents (including negatives).

Multiplying exponents (variables).

Dividing exponents (variables).

Multiplying and dividing exponents with variables.

Exponents word problem.

Write a number in scientific notation (positive).

Write a number in scientific notation (negative).

Write a number in scientific notation.

Operations with scientific notation (addition/subtraction, positive exponents).

Operations with scientific notation (addition/subtraction).

Operations with scientific notation (multiplication).

Operations with scientific notation (division).

Scientific notation to standard form.

Evaluate a basic root.

Evaluate a root inside a root.

Evaluate a root.

Evaluate a root II.

Estimate a root.

Multiplying roots.

Squaring a binomial with roots.

Evaluate exponents that contain variables.

Evaluate a term with a root and a variable.

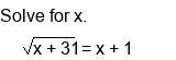
Solve an equation with a radical.

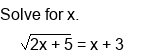
Solve an equation with a radical II.

Solve an equation with a radical III.

Solve using the Pythagorean Theorem.

Find the distance between two points using the distance formula.

Graphing radicals.

Problem:


Choose an Answer:


Try our Math
Problem Generator

Create tests or worksheets to be printed or taken online.




Home | Report Bug | Math Resources | Advertise With Us | Copyright © 2026