Davitily Math Academy - a free place to learn and practice math.
Basic Math / GED

Algebra

Geometry

SAT Math

Algebra 2





Download our
Tutorial Files



Arithmetic

Real Numbers

Decimals, Fractions, and Percents

Introduction to Variables

Solving single-step equations and inequalities

Solving multi-step equations

Graphs

Introduction to Graphing

Graphing Linear Equations

Graphing Inequalities

Systems of Equations

Roots and Exponents

Polynomials

Factoring

Solving for variables using mental math.

Adding and subtracting variables.

Simple literal expression.

Simple literal expression word problem (add and sub).

Simple literal expression word problem (multi and div).

Literal expressions I.

Literal expressions II.

Multiplying variables.

Dividing variables.

Combining like terms I.

Combining like terms II.

Using the distributive property (no exponents).

Using the distributive property.

Using the distributive property (2 variables).

Distribute and Evaluate.

Evaluating expressions (Basic one operation).

Evaluating expressions (Basic two operations).

Evaluating expressions (positive integers).

Evaluating expressions (integers).

Combining like terms and evaluating expressions.

Solve and then evaluate an expression.

Applying area formulas.

Functions - Table.

Functions.

Add and Subract simple fractions with variables.

Add and Subract simple fractions with variables (exponents).

Add and Subract rational expressions with uncommon denominators.

View Tutorial Video

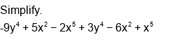
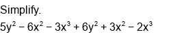
Problem:


Choose an Answer:


Try our Math
Problem Generator

Create tests or worksheets to be printed or taken online.




Home | Report Bug | Math Resources | Advertise With Us | Copyright © 2026