Davitily Math Academy - a free place to learn and practice math.
Basic Math / GED

Algebra

Geometry

SAT Math

Algebra 2





Download our
Tutorial Files



Arithmetic

Real Numbers

Decimals, Fractions, and Percents

Introduction to Variables

Solving single-step equations and inequalities

Solving multi-step equations

Graphs

Introduction to Graphing

Graphing Linear Equations

Graphing Inequalities

Systems of Equations

Roots and Exponents

Polynomials

Factoring

Simple factoring.

Simple factoring word problem.

Factoring word problem.

Factoring polynomials without a leading coefficient.

Factoring binomial squares.

Factoring difference of squares.

Factoring polynomials with a leading coefficient.

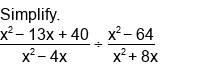
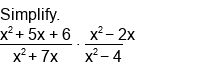
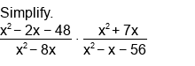
Simplifying polynomials by factoring I.

Simplifying polynomials by factoring II.

Solving factored polynomials.

Solving polynomials by factoring I.

Solving polynomials by factoring II.

Solving polynomials by factoring III.

Solving polynomials.

Find the number of solutions using the discriminant.

Solving polynomials using the quadratic equation.

Completing the square.

Solving polynomials by completing the square.

Problem:


Choose an Answer:


Try our Math
Problem Generator

Create tests or worksheets to be printed or taken online.




Home | Report Bug | Math Resources | Advertise With Us | Copyright © 2026