Davitily Math Academy - a free place to learn and practice math.
Basic Math / GED

Algebra

Geometry

SAT Math

Algebra 2





Download our
Tutorial Files



Arithmetic

Real Numbers

Decimals, Fractions, and Percents

Introduction to Variables

Solving single-step equations and inequalities

Solving multi-step equations

Graphs

Introduction to Graphing

Graphing Linear Equations

Graphing Inequalities

Systems of Equations

Roots and Exponents

Polynomials

Factoring

Polynomials in standard form.

Adding and subtracting polynomials.

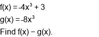
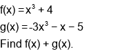
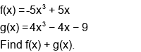
Adding and subtracting functions.

Adding and subtracting polynomials with common denominators.

Simplifying polynomials.

Distributing with polynomials.

Distributing with polynomials word problem.

Multiplying binomials.

Multiplying polynomials.

Multiplying functions without a leading coefficient.

Multiplying functions.

Dividing polynomials by one term.

Dividing polynomials II.

Dividing polynomials III.

Dividing functions.

Graphing a quadratic by using an x-y table.

Graphing a quadratic by finding the vertex and the x-intercepts.

Graphing a quadratic inequality.

Problem:


Choose an Answer:


Try our Math
Problem Generator

Create tests or worksheets to be printed or taken online.




Home | Report Bug | Math Resources | Advertise With Us | Copyright © 2025