Davitily Math Academy - a free place to learn and practice math.
Basic Math / GED

Algebra

Geometry

SAT Math

Algebra 2





Download our
Tutorial Files



Arithmetic

Real Numbers

Decimals, Fractions, and Percents

Introduction to Variables

Solving single-step equations and inequalities

Solving multi-step equations

Graphs

Introduction to Graphing

Graphing Linear Equations

Graphing Inequalities

Systems of Equations

Roots and Exponents

Polynomials

Factoring

Identify the slope and y-intercept given an equation in slope-intercept form.

Find the x and y intercepts given a linear equation in standard form.

Write an equation in slope-intercept form when given the slope and y-intercept.

Graph a line given an equation in slope-intercept form (no fractions).

Graph a line given an equation in slope-intercept form.

Graph a line given an equation in slope-intercept form (includes undefined lines).

Write an equation in slope-intercept form when given a graph.

Given an x-y table, write an equation in slope-intercept form.

Write an equation in slope-intercept form that passes through a given point and slope.

Find a slope that is parallel or perpendicular to a line.

Write an equation in slope-intercept form that passes through a point and is parallel to a line.

Write an equation in slope-intercept form that passes through a point and is perpendicular to a line.

Graph a line given a point and the slope.

Graph a line given an equation in point-slope form.

Write an equation in point-slope form.

Graph a line given an equation in standard form.

Write an equation in standard form.

Standard form to slope-intercept form.

Slope-intercept form to standard form.

View Tutorial Video

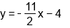
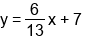
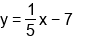
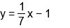
Problem:


Choose an Answer:


Try our Math
Problem Generator

Create tests or worksheets to be printed or taken online.




Home | Report Bug | Math Resources | Advertise With Us | Copyright © 2026