Basic Math / GED
Algebra
Geometry
SAT Math
Algebra 2
Download our Tutorial Files
|
Numbers and Operations
Basic Algebra
Geometry
Intermediate Algebra
Data Analysis, Statistics, and Probability
|
Algebra functions.
Domain of a function.
Range of a function.
Domain and range of a graph.
Evaluate a term with an exponent.
Solving equations with absolute values.
Solving polynomials.
Solving polynomials by completing the square.
Solve using the quadratic equation.
Solving complex polynomial equations.
Work Rate Problem I.
Work Rate Problem II.
|
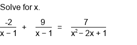
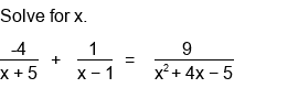
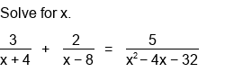
Problem:

Choose an Answer:
| |